基本信息:
中文名称 3-氨基-2,6-哌啶二酮
中文别名 3-氨基哌啶-2,6-二酮;
英文名称 3-aminopiperidine-2,6-dione
英文别名 3-amino-1,6-dioxopiperidine;3-azanylpiperidine-2,6-dione;3-aminopiperidine-2,6-quinone;3-Amino-piperidin-2,6-dion;3-amino-piperidine-2,6-dione;2,6-Piperidinedione,3-amino;
CAS号 2353-44-8
合成路线:
1.通过3-N-苄氧羰基氨基-2,6-二氧代哌啶合成3-氨基-2,6-哌啶二酮

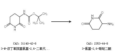
2.通过3-N-叔丁氧羰基氨基-2,6-二氧代哌啶合成3-氨基-2,6-哌啶二酮

中华试剂网提醒:合成路线仅供参考