你好,欢迎来到中华试剂网 购试剂 买耗材! [请登录][注册有惊喜]

货号快速下单 | 签到送积分   | 会员中心 | 客服热线:400-021-2765

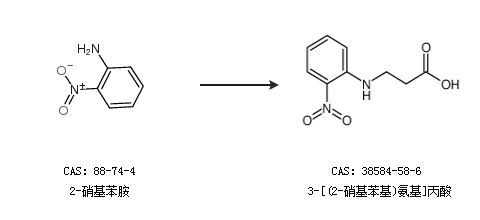
3-[(2-硝基苯基)氨基]丙酸的合成路线

提问时间:2021/4/23 8:54:16
3-[(2-硝基苯基)氨基]丙酸有什么方法可以合成?

1条回复:

匿名
2021/4/23 8:54:17
基本信息:
中文名称 3-[(2-硝基苯基)氨基]丙酸
英文名称 3-(2-nitroanilino)propanoic acid
CAS号 38584-58-6

合成路线:
1.通过2-硝基苯胺合成3-[(2-硝基苯基)氨基]丙酸


2.通过β-丙内酯和2-硝基苯胺合成3-[(2-硝基苯基)氨基]丙酸


中华试剂网提醒:合成路线仅供参考
回复