基本信息:
中文名称 3,4-二氢吡咯-2,5-乙二酸二甲酯
中文别名 3,4-二羟基-1H-吡咯-2,5-二羧酸二甲酯;3,4-二氢吡咯-2,5-乙二酸酯;
英文名称 dimethyl 3,4-dihydroxy-1H-pyrrole-2,5-dicarboxylate
英文别名 3,4-dihydroxy-pyrrole-2,5-dicarboxylic acid dimethyl ester;3,4-Dihydroxy-pyrrol-2,5-dicarbonsaeure-dimethylester;3,4-Dihydroxy-2,5-dicarbomethoxy-pyrrol;HMS1530K04;Dimethyl3,4-dihydroxypyrrole-2,5-dicarboxylate;
CAS号 1632-19-5
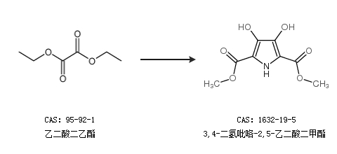
合成路线:
1.通过草酸二甲酯合成3,4-二氢吡咯-2,5-乙二酸二甲酯,收率约70%;

2.通过乙二酸二乙酯合成3,4-二氢吡咯-2,5-乙二酸二甲酯

中华试剂网提醒:合成路线仅供参考