基本信息:
中文名称 3,4-二氯苯氧乙酸
中文别名 3,4-二氯苯氧基乙酸;
英文名称 3,4-dichlorophenoxyacetic acid
英文别名 2-(3,4-dichlorophenoxy)acetic acid;3,4-Dichlorophenoxyacetic acid;3,4-DA;(3,4-dichlorophenoxy)acetic acid;
CAS号 588-22-7
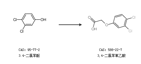
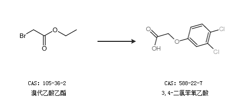
合成路线:
1.通过3.4-二氯苯酚合成3,4-二氯苯氧乙酸

2.通过溴代乙酸乙酯合成3,4-二氯苯氧乙酸

中华试剂网提醒:合成路线仅供参考