基本信息:
中文名称 3,4-吡咯二羧酸二乙酯
中文别名 二乙基 3,4-吡咯二甲酸酯;
英文名称 diethyl 1H-pyrrole-3,4-dicarboxylate
英文别名 pyrrole-3,4-dicarboxylic acid diethyl ester;diethyl3,4-pyrroledicarboxylate;1H-pyrrole-3,4-dicarboxylic acid diethyl ester;diethyl pyrrole-3,4-dicarboxylate;
CAS号 41969-71-5
合成路线:
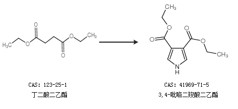
1.通过丁二酸二乙酯合成3,4-吡咯二羧酸二乙酯

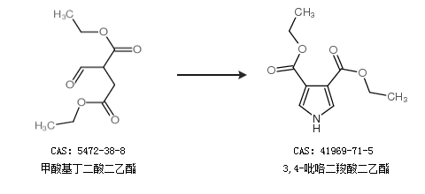
2.通过甲酸基丁二酸二乙酯合成3,4-吡咯二羧酸二乙酯

中华试剂网提醒:合成路线仅供参考