基本信息:
中文名称 3,3,4,4,4-五氟丁烷-2-酮
中文别名 3,3,4,4,4-五氟丁-2-酮;
英文名称 3,3,4,4,4-Pentafluorobutan-2-one
英文别名 3,3,4,4,4-PENTAFLUOROBUTAN-2-ONE;
CAS号 374-41-4
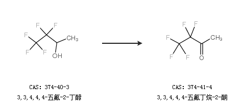
合成路线:
1.通过全氟(2-甲基-2-戊烯)合成3,3,4,4,4-五氟丁烷-2-酮,收率约18%;

2.通过3,3,4,4,4-五氟-2-丁醇合成3,3,4,4,4-五氟丁烷-2-酮

中华试剂网提醒:合成路线仅供参考