基本信息:
中文名称 3-(N-(4-氯-3-甲基异噁唑-5-基)磺酰基)噻吩-2-羧酸
英文名称 3-[(4-chloro-3-methyl-1,2-oxazol-5-yl)sulfamoyl]thiophene-2-carboxylic acid
英文别名 3-(4-Chloro-3-methyl-isoxazol-5-ylsulfamoyl)-thiophene-2-carboxylic acid;[(4-chloro-3-methyl-1,2-oxazol-5-yl)sulfamoyl]thiophene-2-carboxylic acid;N-(4-chloro-3-methyl-5-isoxazolyl)-3-sulfamoyl-2-thiophenecarboxylic acid;N-(4-chloro-3-methyl-5-isoxazolyl)-2-carboxylthiophene-3-sulfonamide;3{[(4-chloro-3-methyl-5-isoxazolyl)amino]sulfonyl}-2-thiophenecarboxylic acid;N-(4-chloro-3-methyl-5-isoxazolyl)-3-sulfamoylthiophene-2-carboxylic acid;N-(4-chloro-3-methyl-5-isoxazolyl)-2-carboxythiophene-3-sulfonamide;3-(N-(4-Chloro-3-methylisoxazol-5-yl)sulfamoyl)thiophene-2-carboxylic acid;
CAS号 184040-74-2
合成路线:
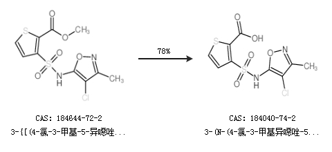
1.通过3-{[(4-氯-3-甲基-5-异噁唑)氨基]磺酰基}-2-噻吩羧酸甲酯合成3-(N-(4-氯-3-甲基异噁唑-5-基)磺酰基)噻吩-2-羧酸,收率约78%;

中华试剂网提醒:合成路线仅供参考