你好,欢迎来到中华试剂网 购试剂 买耗材! [请登录][注册有惊喜]

货号快速下单 | 签到送积分   | 会员中心 | 客服热线:400-021-2765

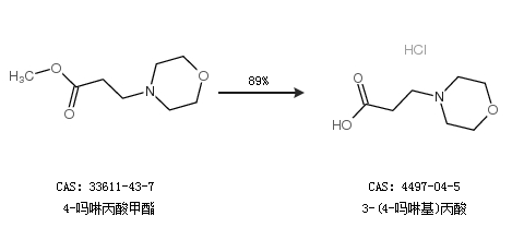
3-(4-吗啉基)丙酸的合成路线

提问时间:2021/4/23 8:54:16
3-(4-吗啉基)丙酸有什么方法可以合成?

1条回复:

匿名
2021/4/23 8:54:16
基本信息:
中文名称 3-(4-吗啉基)丙酸
中文别名 4-吗啉丙酸;
英文名称 3-Morpholin-4-yl-propionic acid
英文别名 3-Morpholinopropanoic acid;3-morpholin-4-ylpropanoic acid;
CAS号 4497-04-5

合成路线:
1.通过4-吗啉丙酸甲酯合成3-(4-吗啉基)丙酸,收率约89%;


2.通过吗啉和丙烯酸甲酯合成3-(4-吗啉基)丙酸,收率约80%;


中华试剂网提醒:合成路线仅供参考
回复