你好,欢迎来到中华试剂网 购试剂 买耗材! [请登录][注册有惊喜]

货号快速下单 | 签到送积分   | 会员中心 | 客服热线:400-021-2765

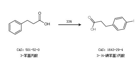
3-(4-碘苯基)丙酸的合成路线

提问时间:2021/4/23 8:54:16
3-(4-碘苯基)丙酸有什么方法可以合成?

1条回复:

匿名
2021/4/23 8:54:16
基本信息:
中文名称 3-(4-碘苯基)丙酸
中文别名 对碘苯丙酸;
英文名称 3-(4-Iodophenyl)propionic acid
英文别名 3-(4-iodophenyl)propanoic acid;3-(4-Iodophenyl)propanoic acid;
CAS号 1643-29-4

合成路线:
1.通过3-苯基丙酸合成3-(4-碘苯基)丙酸,收率约74%;


2.通过3-苯基丙酸合成3-(4-碘苯基)丙酸,收率约33%;


中华试剂网提醒:合成路线仅供参考
回复