基本信息:
中文名称 3-(3-吲哚基)-2-氧代丙酸
中文别名 吲哚-3-丙酮酸;3-吲哚丙酮酸;
英文名称 3-(indol-3-yl)pyruvic acid
英文别名 Indole-3-pyruvic acid;3-(1H-Indol-3-yl)-2-oxopropanoic acid;3-(1H-indol-3-yl)-2-oxopropanoic acid;
CAS号 392-12-1
合成路线:
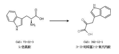
1.通过L-色氨酸合成3-(3-吲哚基)-2-氧代丙酸

2.通过L-色氨酸合成3-(3-吲哚基)-2-氧代丙酸

中华试剂网提醒:合成路线仅供参考