你好,欢迎来到中华试剂网 购试剂 买耗材! [请登录][注册有惊喜]

货号快速下单 | 签到送积分   | 会员中心 | 客服热线:400-021-2765

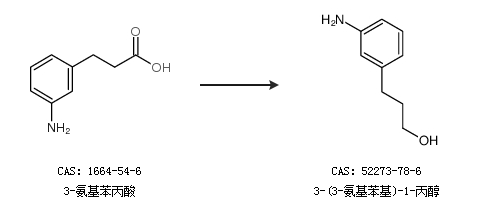
3-(3-氨基苯基)-1-丙醇的合成路线

提问时间:2021/4/23 8:54:15
3-(3-氨基苯基)-1-丙醇有什么方法可以合成?

1条回复:

匿名
2021/4/23 8:54:15
基本信息:
中文名称 3-(3-氨基苯基)-1-丙醇
英文名称 3-(3-aminophenyl)propan-1-ol
英文别名 Benzenepropanol,3-amino;
CAS号 52273-78-6

合成路线:
1.通过3-(3-硝基苯基)-2-丙炔-1-醇合成3-(3-氨基苯基)-1-丙醇,收率约99%;


2.通过3-氨基苯丙酸合成3-(3-氨基苯基)-1-丙醇


中华试剂网提醒:合成路线仅供参考
回复