基本信息:
中文名称 3-(3,5-二溴-4-羟基苯基)丙酸
英文名称 3-(3,5-DIBROMO-4-HYDROXYPHENYL)PROPANOIC ACID
英文别名 3.5-Dibrom-hydro-p-cumarsaeure;3-(3,5-dibromo-4-hydroxy-phenyl)-propionic acid;3-(3,5-Dibrom-4-hydroxy-phenyl)-propionsaeure;3,5-Dibromophloretic acid;
CAS号 13811-12-6
合成路线:
1.通过对羟基苯丙酸合成3-(3,5-二溴-4-羟基苯基)丙酸,收率约88%;

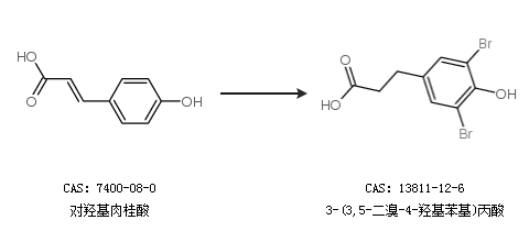
2.通过对羟基肉桂酸合成3-(3,5-二溴-4-羟基苯基)丙酸

中华试剂网提醒:合成路线仅供参考