你好,欢迎来到中华试剂网 购试剂 买耗材! [请登录][注册有惊喜]

货号快速下单 | 签到送积分   | 会员中心 | 客服热线:400-021-2765

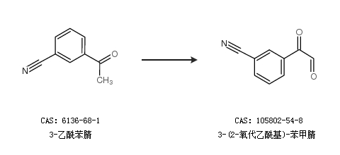
3-(2-氧代乙酰基)-苯甲腈的合成路线

提问时间:2021/4/23 8:54:15
3-(2-氧代乙酰基)-苯甲腈有什么方法可以合成?

1条回复:

匿名
2021/4/23 8:54:15
基本信息:
中文名称 3-(2-氧代乙酰基)-苯甲腈
英文名称 3-oxaldehydoylbenzonitrile
英文别名 3-Glyoxyloyl-benzonitril;3-CYANOPHENYLGLYOXAL;3-oxoacetyl-benzonitrile;
CAS号 105802-54-8

合成路线:
1.通过3-乙酰苯腈合成3-(2-氧代乙酰基)-苯甲腈


中华试剂网提醒:合成路线仅供参考
回复