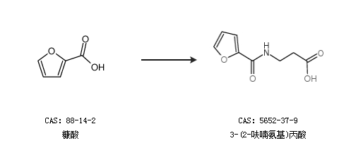
基本信息:
中文名称 3-(2-呋喃氨基)丙酸
英文名称 3-(furan-2-carbonylamino)propanoic acid
英文别名 3-(2-furoylamino)propanoic acid;3-(furan-2-ylformamido)propanoic acid;n-2-furoyl-|A-alanine;3-(Furan-2-carboxamido)propanoic acid;
CAS号 5652-37-9
合成路线:
1.通过呋喃甲酰氯和β-丙氨酸合成3-(2-呋喃氨基)丙酸,收率约37%;

2.通过糠酸合成3-(2-呋喃氨基)丙酸

中华试剂网提醒:合成路线仅供参考