你好,欢迎来到中华试剂网 购试剂 买耗材! [请登录][注册有惊喜]

货号快速下单 | 签到送积分   | 会员中心 | 客服热线:400-021-2765

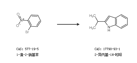
2-异丙基-1H-吲哚的合成路线

提问时间:2021/4/23 8:54:15
2-异丙基-1H-吲哚有什么方法可以合成?

1条回复:

匿名
2021/4/23 8:54:15
基本信息:
中文名称 2-异丙基-1H-吲哚
英文名称 2-propan-2-yl-1H-indole
英文别名 2-isopropyl-indole;EINECS 241-767-3;2-Isopropyl-indol;2-isopropyl-1H-indole;
CAS号 17790-93-1

合成路线:
1.通过3-甲基-2-丁酮合成2-异丙基-1H-吲哚


2.通过1-溴-2-硝基苯合成2-异丙基-1H-吲哚


中华试剂网提醒:合成路线仅供参考
回复