基本信息:
中文名称 2-溴代异丁酸甲酯
中文别名 α-溴异丁酸甲酯;α-溴代异丁酸甲酯;2-溴异丁酸甲酯;2-溴-2-甲基丙酸甲酯;
英文名称 methyl 2-bromo-2-methylpropanoate
英文别名 methyl2-bromoisobutyrate;alpha-Bromoisobutyricacidmethylester;methyl 2-bromo-2,2-dimethylacetate;Methyl 2-Bromoisobutyrate;Methyl 2-bromo-2-methylpropionate;Methyl α-bromoisobutyrate;Methyl 2-bromo-2-methylpropanoate;methyl 2-bromo-2-methyl-propionate;2-bromo-2-methylpropionic acid methyl ester;Methyl |A-bromoisobutyrate;Propanoic acid,2-bromo-2-methyl-,methyl ester;
CAS号 23426-63-3
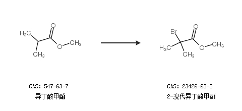
合成路线:
1.通过异丁酸合成2-溴代异丁酸甲酯

2.通过异丁酸甲酯合成2-溴代异丁酸甲酯

中华试剂网提醒:合成路线仅供参考