你好,欢迎来到中华试剂网 购试剂 买耗材! [请登录][注册有惊喜]

货号快速下单 | 签到送积分   | 会员中心 | 客服热线:400-021-2765

2-溴-4-甲基戊酸的合成路线

提问时间:2021/4/23 8:54:15
2-溴-4-甲基戊酸有什么方法可以合成?

1条回复:

匿名
2021/4/23 8:54:15
基本信息:
中文名称 2-溴-4-甲基戊酸
英文名称 2-Bromo-4-methylpentanoic acid
英文别名 2-bromo-4-methyl-pentanoic acid;
CAS号 42990-24-9

合成路线:
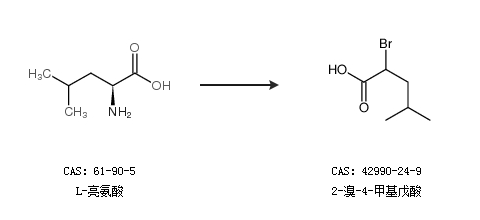
1.通过L-亮氨酸合成2-溴-4-甲基戊酸


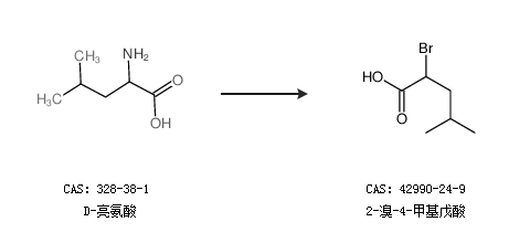
2.通过D-亮氨酸合成2-溴-4-甲基戊酸


中华试剂网提醒:合成路线仅供参考
回复