你好,欢迎来到中华试剂网 购试剂 买耗材! [请登录][注册有惊喜]

货号快速下单 | 签到送积分   | 会员中心 | 客服热线:400-021-2765

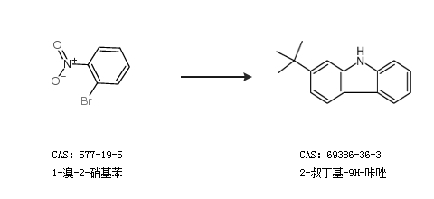
2-叔丁基-9H-咔唑的合成路线

提问时间:2021/4/23 8:54:14
2-叔丁基-9H-咔唑有什么方法可以合成?

1条回复:

匿名
2021/4/23 8:54:14
基本信息:
中文名称 2-叔丁基-9H-咔唑
英文名称 2-tert-butyl-9H-carbazole
英文别名 2-tert.-Butyl-carbazol;2-tert-butyl-carbazole;
CAS号 69386-36-3

合成路线:
1.通过1-溴-2-硝基苯合成2-叔丁基-9H-咔唑


2.通过4-叔丁基苯硼酸合成2-叔丁基-9H-咔唑


中华试剂网提醒:合成路线仅供参考
回复