你好,欢迎来到中华试剂网 购试剂 买耗材! [请登录][注册有惊喜]

货号快速下单 | 签到送积分   | 会员中心 | 客服热线:400-021-2765

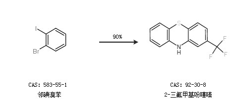
2-三氟甲基吩噻嗪的合成路线

提问时间:2021/4/23 8:54:14
2-三氟甲基吩噻嗪有什么方法可以合成?

1条回复:

匿名
2021/4/23 8:54:14
基本信息:
中文名称 2-三氟甲基吩噻嗪
中文别名 三氟拉嗪主环;2-(三氟甲基)吩噻嗪;2-(三氟甲基)二苯并噻嗪;
英文名称 2-(Trifluoromethyl)phenothiazine
英文别名 2-(trifluoromethyl)-10H-phenothiazine;
CAS号 92-30-8

合成路线:
1.通过邻碘溴苯合成2-三氟甲基吩噻嗪,收率约90%;


2.通过2-溴氯苯合成2-三氟甲基吩噻嗪,收率约77%;


中华试剂网提醒:合成路线仅供参考
回复