基本信息:
中文名称 2-氯丁酸甲酯
英文名称 methyl 2-chlorobutanoate
英文别名 methyl 2-chlorobutyrate;methyl chlorobutyrate;2-chloro-butyric acid methyl ester;Butanoic acid,2-chloro-,methyl ester;
CAS号 26464-32-4
合成路线:
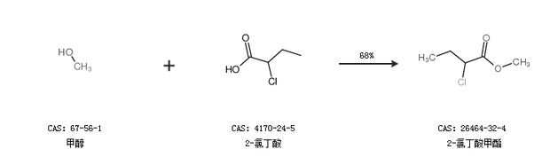
1.通过甲醇和2-氯丁酸合成2-氯丁酸甲酯,收率约68%;

2.通过甲醇和2-氯丁酰氯合成2-氯丁酸甲酯

中华试剂网提醒:合成路线仅供参考