基本信息:
中文名称 2-氯-6-羟基萘
中文别名 2-氯-6-萘酚;
英文名称 6-chloronaphthalen-2-ol
英文别名 6-Chlor-[2]naphthol;6-chloro-2-naphthalenol;6-Chlor-2-hydroxy-naphthalin;2-Chlor-6-hydroxy-naphthalin;2-Naphthalenol,6-chloro;2-Chloro-6-naphthol;2-Chloro-6-hydroxynaphthalene;6-Chloro-2-naphthol;
CAS号 40604-49-7
合成路线:
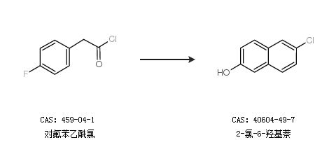
1.通过对氟苯乙酰氯合成2-氯-6-羟基萘

2.通过2,6-二氯萘合成2-氯-6-羟基萘

中华试剂网提醒:合成路线仅供参考