基本信息:
中文名称 2-氯-6-氨基嘌呤
中文别名 6-氨基-2-氯嘌呤;2-氯-6-氨基嘌呤;2-氯-9H-嘌呤-6-胺;2-氯腺嘌呤;2-氯腺嘌呤;
英文名称 2-Chloroadenine
英文别名 6-amino-2-chloro-9H-purine;6-Amino-2-chloro-7H-purine;2-chloro-7h-purin-6-amine;2-chloro-1H-purin-6-amine;2-chloropurin-6-amine;2-Chlorophenthiazine;2-CHLORO-9H-PURIN-6-AMINE;2-Chloro-9H-purin-6-amine;CHLOROADENINE;6-amino-2-chloropurine;6-Amino-2-chloropurine;2-CHLORO-6-AMINOPURINE;
CAS号 1839-18-5
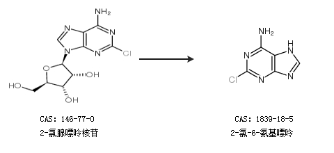
合成路线:
1.通过2,6-二氯嘌呤合成2-氯-6-氨基嘌呤,收率约99%;

2.通过2-氯腺嘌呤核苷合成2-氯-6-氨基嘌呤

中华试剂网提醒:合成路线仅供参考