你好,欢迎来到中华试剂网 购试剂 买耗材! [请登录][注册有惊喜]

货号快速下单 | 签到送积分   | 会员中心 | 客服热线:400-021-2765

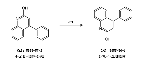
2-氯-4-苯基喹啉的合成路线

提问时间:2021/4/23 8:54:14
2-氯-4-苯基喹啉有什么方法可以合成?

1条回复:

匿名
2021/4/23 8:54:14
基本信息:
中文名称 2-氯-4-苯基喹啉
英文名称 2-Chloro-4-phenylquinoline
英文别名 2-chloro-4-phenyl-quinoline;HMS1414K02;2-Chlor-4-phenyl-chinolin;
CAS号 5855-56-1

合成路线:
1.通过4-苯基-喹啉-2-醇合成2-氯-4-苯基喹啉,收率约93%;


2.通过苯甲酰乙酸乙酯合成2-氯-4-苯基喹啉


中华试剂网提醒:合成路线仅供参考
回复