你好,欢迎来到中华试剂网 购试剂 买耗材! [请登录][注册有惊喜]

货号快速下单 | 签到送积分   | 会员中心 | 客服热线:400-021-2765

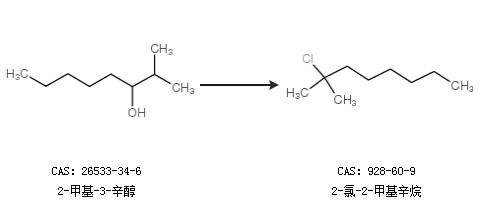
2-氯-2-甲基辛烷的合成路线

提问时间:2021/4/23 8:54:14
2-氯-2-甲基辛烷有什么方法可以合成?

1条回复:

匿名
2021/4/23 8:54:14
基本信息:
中文名称 2-氯-2-甲基辛烷
英文名称 2-CHLORO-2-METHYLOCTANE
英文别名 2-Chlor-2-methyl-octan;Octane,2-chloro-2-methyl;2-chloro-2-methyl-octane;
CAS号 928-60-9

合成路线:
1.通过2-甲基-3-辛醇合成2-氯-2-甲基辛烷


2.通过2-甲基-2-辛醇合成2-氯-2-甲基辛烷,收率约79%;


中华试剂网提醒:合成路线仅供参考
回复