基本信息:
中文名称 还原橙7
中文别名 颜料橙43;还原橙7;双苯并咪唑[2,1-B:2'',1''-I]苯并[LMN][3.8]菲咯啉-8,17-二酮;还原橙 GR;
英文名称 trans-Perinone
英文别名 Ostanthren Orange GR;Vat Orange 7;Paradone Brilliant Orange GR;3,4,9,10-perylenetetracarboxylic-bis-benzimidazole;Brilliant Orange GR;pigment orange 43;Mikethrene Orange GR;C.I. Pigment Orange 43;Vat Brilliant Orange;Hostaperm Orange GR;trans naphthoylene-bis-benzimidazole;Bordeaux RRN;Vat Scarlet 2Zh;
CAS号 4424-06-0
合成路线:
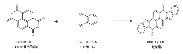
1.通过1,4,5,8-萘四甲酸酐和1,2-苯二胺合成还原橙7

2.通过1,2-苯二胺合成还原橙7

合成路线仅供参考