你好,欢迎来到中华试剂网 购试剂 买耗材! [请登录][注册有惊喜]

货号快速下单 | 签到送积分   | 会员中心 | 客服热线:400-021-2765

癸酸钠的合成路线有哪些?

提问时间:2021/4/21 17:43:39
癸酸钠有什么方法可以合成?

1条回复:

匿名
2021/4/21 17:43:39
基本信息:
中文名称 癸酸钠
中文别名 癸酸鈉;
英文名称 CAPRIC ACID SODIUM SALT
英文别名 sodium,decanoate;Decanoic Acid Sodium Salt;SodiuM Decanoate;
CAS号 1002-62-6

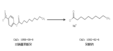
合成路线:
1.通过正癸酸合成癸酸钠,收率约92%;


2.通过对硝基苯酚癸合成癸酸钠


合成路线仅供参考
回复