基本信息:
中文名称 地诺前列素
中文别名 前列腺素F2A;前列腺素F2α;前列腺素;
英文名称 prostaglandin F2α
英文别名 Glandin N;Prostaglandin F2a;Dinprost;panacelan;prostaglandin F2alpha;enzaprost;dinolytic;[3H]-PGF2alpha;DINOPROST;cyclosin;glandin;PGF2ALPHA;(Z)-7-[(1R,2R,3R,5S)-3,5-dihydroxy-2-((S)-(E)-3-hydroxyoct-1-enyl)-cyclopentyl]hept-5-enoic acid;
CAS号 551-11-1
合成路线:
1.通过4-羧丁基三苯基溴化膦合成地诺前列素

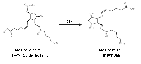
2.通过(Z)-7-[(1r,2r,3r,5s)-5-乙酰氧基-3-羟基-2-((e)-(s)-3-羟基-1-辛烯)-环戊基]-5-庚烯酸甲酯合成地诺前列素,收率约95%;

合成路线仅供参考