基本信息:
中文名称 达帕菲尼
中文别名 达拉菲尼;
英文名称 dabrafenib
英文别名 Dabrafenib [USAN:INN];N-[3-[5-(2-aminopyrimidin-4-yl)-2-tert-butyl-1,3-thiazol-4-yl]-2-fluorophenyl]-2,6-difluorobenzenesulfonamide;UNII-QGP4HA4G1B;Tafinlar;Dabrafenib (USAN);Dabrafenib;N-{3-[5-(2-amino-4-pyrimidinyl)-2-(1,1-dimethylethyl)-1,3-thiazol-4-yl]-2-fluorophenyl}-2,6-difluorobenzene sulfonamide;
CAS号 1195765-45-7
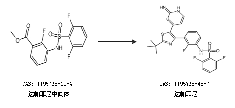
合成路线:
1.通过达帕菲尼中间体合成达帕菲尼,收率约88%;

2.通过达帕菲尼中间体合成达帕菲尼

合成路线仅供参考