基本信息:
中文名称 别孕烯醇酮
英文名称 3β-hydroxy-5α-pregnan-20-one
英文别名 Alloepipregnanolone;ALLOPREGNAN-3B-OL-20-ONE;ISOPREGNANOLONE;3-Hydroxypregnan-20-one;3beta-hydroxy-5alpha-pregnan-20-one;5A-PREGNAN-3B-OL-20-ONE;Pregnan-20-one,3-hydroxy-, (3b,5a)-;Tetrahydroprogesterone;epi-allopregnanolone;ALLOPREGNANOLONE;
CAS号 516-55-2
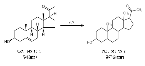
合成路线:
1.通过孕烯醇酮合成别孕烯醇酮,收率约98%;

2.通过16-妊娠双烯醇酮合成别孕烯醇酮,收率约96%;

合成路线仅供参考