基本信息:
中文名称 P-(4,5-二氢-3,4-二甲基-5-氧代-1氢-吡唑烷-1-基)苯磺酸
英文名称 4-(3,4-dimethyl-5-oxo-4H-pyrazol-1-yl)benzenesulfonic acid
英文别名 4-(3,4-dimethyl-5-oxo-4,5-dihydro-pyrazol-1-yl)-benzenesulfonic acid;4-(3,4-dimethyl-5-oxo-2,5-dihydro-pyrazol-1-yl)-benzenesulfonic acid;p-(4,5-dihydro-3,4-dimethyl-5-oxo-1H-pyrazol-1-yl)benzenesulfonic acid;3,4-Dimethyl-1-(4-sulfo-phenyl)-pyrazol-5-on;4-(3,4-Dimethyl-5-oxo-4,5-dihydro-pyrazol-1-yl)-benzolsulfonsaeure;3,4-Dimethyl-1-(4-sulfophenyl)pyrazol-5-one;3,4-Dimethyl-1-(4-sulfophenyl)pyrazol-5(4H)-one;4-(3,4-dimethyl-5-oxo-4,5-dihydro-1h-pyrazol-1-yl)benzenesulfonic acid;
CAS号 38254-74-9
合成路线:
1.通过2-甲基乙酰乙酸乙酯合成P-(4,5-二氢-3,4-二甲基-5-氧代-1氢-吡唑烷-1-基)苯磺酸

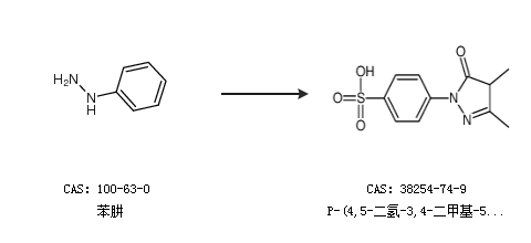
2.通过苯肼合成P-(4,5-二氢-3,4-二甲基-5-氧代-1氢-吡唑烷-1-基)苯磺酸

合成路线仅供参考