你好,欢迎来到中华试剂网 购试剂 买耗材! [请登录][注册有惊喜]

货号快速下单 | 签到送积分   | 会员中心 | 客服热线:400-021-2765

N-乙基-2-吡咯烷-1-乙胺的合成路线有哪些?

提问时间:2021/4/21 17:43:39
N-乙基-2-吡咯烷-1-乙胺有什么方法可以合成?

1条回复:

匿名
2021/4/21 17:43:39
基本信息:
中文名称 N-乙基-2-吡咯烷-1-乙胺
中文别名 N-乙基-2-吡咯烷-1-基乙胺;N-乙基-2-(1-吡咯烷基)乙胺;
英文名称 N-ethyl-2-pyrrolidin-1-ylethanaMine
英文别名 1-Pyrrolidineethanamine,N-ethyl;
CAS号 138356-55-5

合成路线:
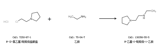
1.通过N-(2-氯乙基)吡咯烷盐酸盐和乙胺合成N-乙基-2-吡咯烷-1-乙胺


合成路线仅供参考
回复