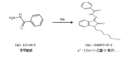
基本信息:
中文名称 n’-[(3z)-1-己基-2-氧代-1,2-二氢-3H-吲哚-3-基idene]苯并肼
英文名称 N''-(1-Hexyl-2-oxoindolin-3-ylidene)benzohydrazide
英文别名 O,O''-Dibenzylfluorescein;dibenzylfluorescein;1,2,4-Triazine-6-carboxaldehyde,2,3,4,5-tetrahydro-3,5-dioxo;O-benzylfluorescein benzyl ester;
CAS号 1048973-47-2
合成路线:
1.通过苯甲酰肼合成n’-[(3z)-1-己基-2-氧代-1,2-二氢-3H-吲哚-3-基idene]苯并肼,收率约78%;

合成路线仅供参考