你好,欢迎来到中华试剂网 购试剂 买耗材! [请登录][注册有惊喜]

货号快速下单 | 签到送积分   | 会员中心 | 客服热线:400-021-2765

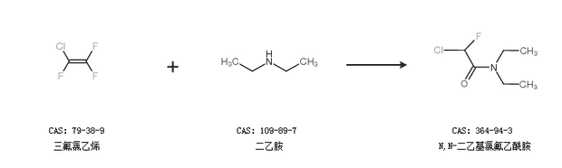
N,N-二乙基氯氟乙酰胺的合成路线有哪些?

提问时间:2021/4/21 17:43:38
N,N-二乙基氯氟乙酰胺有什么方法可以合成?

1条回复:

匿名
2021/4/21 17:43:38
基本信息:
中文名称 N,N-二乙基氯氟乙酰胺
英文名称 N,N-Diethyl chlorofluoroacetamide
英文别名 2-chloro-N,N-diethyl-2-fluoroacetamide;
CAS号 364-94-3

合成路线:
1.通过三氟氯乙烯和二乙胺合成N,N-二乙基氯氟乙酰胺


2.通过正丁醇合成N,N-二乙基氯氟乙酰胺


合成路线仅供参考
回复