基本信息:
中文名称 N,N’-双(叔丁氧羰基)-L-胱氨酸
中文别名 N,N''-双(叔丁氧羰基)-L-胱氨酸;N,N''-双(叔丁氧羰基)-L-胱氨酸;(BOC-CYS-OH)2;
英文名称 (BOC-CYS-OH)2
英文别名 N,N''-di-Boc-cystine;BOC-L-CYSTINE extrapure;BOC-L-CYSTINE;N N-BOC-L-CYSTEINE;N,N''-Bis-Boc-cystine;N,N''-Bis-Boc-L-cystine;BIS-BOC-L-CYSTINE;N,N''-Di-BOC-L-cystine;(Boc-CYS-OH)2;
CAS号 10389-65-8
合成路线:
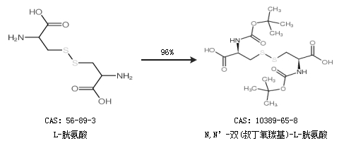
1.通过L-胱氨酸合成N,N’-双(叔丁氧羰基)-L-胱氨酸,收率约96%;

2.通过L-半胱氨酸合成N,N’-双(叔丁氧羰基)-L-胱氨酸,收率约83%;

合成路线仅供参考