你好,欢迎来到中华试剂网 购试剂 买耗材! [请登录][注册有惊喜]

货号快速下单 | 签到送积分   | 会员中心 | 客服热线:400-021-2765

N,N’-双(2-氯乙基)脲的合成路线有哪些?

提问时间:2021/4/21 17:43:38
N,N’-双(2-氯乙基)脲有什么方法可以合成?

1条回复:

匿名
2021/4/21 17:43:38
基本信息:
中文名称 N,N’-双(2-氯乙基)脲
中文别名 N,N''-双(2-氯乙基)脲;双氯乙基脲;
英文名称 1,3-bis(2-chloroethyl)urea
英文别名 PARENT UREA;Carmustine impurity A;
CAS号 2214-72-4

合成路线:
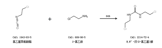
1.通过氯乙基异氰酸酯合成N,N’-双(2-氯乙基)脲


2.通过氯乙基异氰酸酯和2-氯乙胺合成N,N’-双(2-氯乙基)脲,收率约84%;


合成路线仅供参考
回复