基本信息:
中文名称 D-葡萄糖二酸单钾盐
中文别名 葡萄糖二酸氫鉀;
英文名称 Potassium bisaccharate
英文别名 GLUCARIC ACID POTASSIUM SALT;potassium hydrogen glucarate;potassium salt of the d-saccharic acid;D-glucaric acid,potassium hydrogen-D glucarate;D-Glucarsaeure,Kaliumsalz;SACCHARIC ACID,POTASSIUM SALT;POTASSIUM D-SACCHARATE;POTASSIUM ACID SACCHARATE;D-Glucosaccha;D-Glucarsaeure,Kalium-hydrogen-D-glucarat;monopotassium D-glucarate;D-GLUCARATE MONOPOTASSIUM;POTASSIUM HYDROGEN SACCHARATE;monopotassium D-saccharic acid;
CAS号 576-42-1
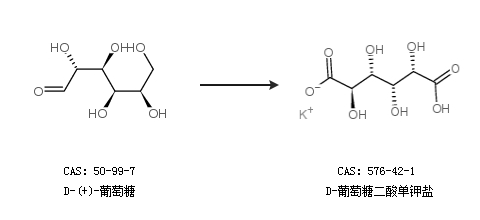
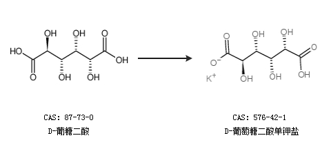
合成路线:
1.通过D-(+)-葡萄糖合成D-葡萄糖二酸单钾盐

2.通过D-葡糖二酸合成D-葡萄糖二酸单钾盐

合成路线仅供参考