基本信息:
中文名称 8-溴-6-氟-4-氧代-1,4-二氢喹啉-2-羧酸甲酯
英文名称 methyl 8-bromo-6-fluoro-4-oxo-1H-quinoline-2-carboxylate
英文别名 Methyl 8-bromo-6-fluoro-4-oxo-1,4-dihydroquinoline-2-carboxylate;8-bromo-6-fluoro-4-oxo-1,4-dihydroquinoline-2-carboxylic acid methyl ester;
CAS号 442549-68-0
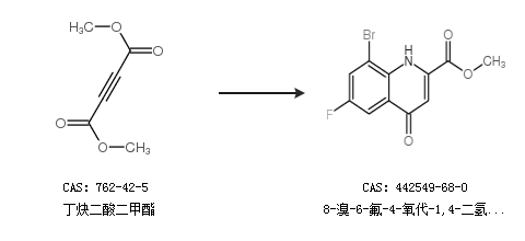
合成路线:
1.通过2-溴-4-氟苯胺合成8-溴-6-氟-4-氧代-1,4-二氢喹啉-2-羧酸甲酯

2.通过丁炔二酸二甲酯合成8-溴-6-氟-4-氧代-1,4-二氢喹啉-2-羧酸甲酯

合成路线仅供参考