基本信息:
中文名称 7-溴-1,2,3,4-四氢-5H-1,4-苯并二氮杂革-5-酮
英文名称 7-bromo-1,2,3,4-tetrahydro-1,4-benzodiazepin-5-one
英文别名 RW2675;
CAS号 455885-78-6
合成路线:
1.通过7-溴-3,4-二氢-1H-苯并[e][1,4]二氮杂卓-2,5-二酮合成7-溴-1,2,3,4-四氢-5H-1,4-苯并二氮杂革-5-酮,收率约44%;

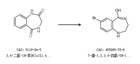
2.通过3,4-二氢-1H-苯并[e][1,4]二氮杂卓-2,5-二酮合成7-溴-1,2,3,4-四氢-5H-1,4-苯并二氮杂革-5-酮

合成路线仅供参考