你好,欢迎来到中华试剂网 购试剂 买耗材! [请登录][注册有惊喜]

货号快速下单 | 签到送积分   | 会员中心 | 客服热线:400-021-2765

6-氯烟酰叔丁胺的合成路线有哪些?

提问时间:2021/4/21 17:43:37
6-氯烟酰叔丁胺有什么方法可以合成?

1条回复:

匿名
2021/4/21 17:43:37
基本信息:
中文名称 6-氯烟酰叔丁胺
中文别名 6-氯-3-叔丁酰胺吡啶;6-氯-N-叔丁基-3-吡啶甲酰胺;
英文名称 N-(tert-Butyl)-6-chloronicotinamide
英文别名 N-t-Butyl 6-chloronicotinamide;
CAS号 115309-58-5

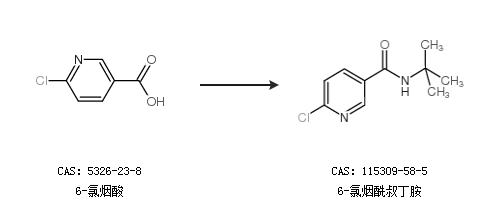
合成路线:
1.通过6-氯烟酸和叔丁胺合成6-氯烟酰叔丁胺,收率约94%;


2.通过6-氯烟酸合成6-氯烟酰叔丁胺


合成路线仅供参考
回复