基本信息:
中文名称 6,7-二硝基奎喔林-2,3(1H,4H)-二酮
中文别名 二硝基喹酮;6,7-二硝基-2,3-二羟基喹噁啉;DNQX;
英文名称 6,7-Dinitroquinoxaline-2,3-dione
英文别名 6,7-dinitro-1,4-dihydroquinoxaline-2,3-dione;6,7-Dinitroquinoxaline-2,3(1H,4H)-dione;
CAS号 2379-57-9
合成路线:
1.通过2-羟基喹喔啉合成6,7-二硝基奎喔林-2,3(1H,4H)-二酮

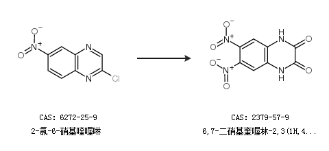
2.通过2-氯-6-硝基喹喔啉合成6,7-二硝基奎喔林-2,3(1H,4H)-二酮

合成路线仅供参考