基本信息:
中文名称 5α-cholest-7-en-3ß-ol
中文别名 5α-Cholest-7-en-3β-ol;
英文名称 5α-cholest-7-en-3β-ol
英文别名 Cholest-7-en-3beta-ol;Cholest-7-en-3-ol;5alpha-Cholest-7-en-3beta-ol;(3S,5S,9R,10S,13R,14R,17R)-10,13-dimethyl-17-[(2R)-6-methylheptan-2-yl]-2,3,4,5,6,9,11,12,14,15,16,17-dodecahydro-1H-cyclopenta[a]phenanthren-3-ol;5alpha-cholest-7-en-3beta-ol;7-cholestenol;Lathosterol;
CAS号 80-99-9
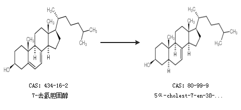
合成路线:
1.通过7-去氢胆固醇合成5α-cholest-7-en-3ß-ol,收率约95%;

2.通过7-去氢胆固醇合成5α-cholest-7-en-3ß-ol

合成路线仅供参考