你好,欢迎来到中华试剂网 购试剂 买耗材! [请登录][注册有惊喜]

货号快速下单 | 签到送积分   | 会员中心 | 客服热线:400-021-2765

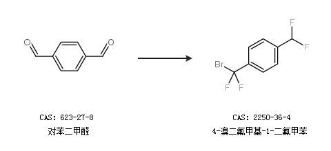
4-溴二氟甲基-1-二氟甲苯的合成路线有哪些?

提问时间:2021/4/21 17:43:36
4-溴二氟甲基-1-二氟甲苯有什么方法可以合成?

1条回复:

匿名
2021/4/21 17:43:36
基本信息:
中文名称 4-溴二氟甲基-1-二氟甲苯
英文名称 1-[bromo(difluoro)methyl]-4-(difluoromethyl)benzene
英文别名 PC9124;
CAS号 2250-36-4

合成路线:
1.通过1,4-双(二氟甲基)苯合成4-溴二氟甲基-1-二氟甲苯


2.通过对苯二甲醛合成4-溴二氟甲基-1-二氟甲苯


合成路线仅供参考
回复