你好,欢迎来到中华试剂网 购试剂 买耗材! [请登录][注册有惊喜]

货号快速下单 | 签到送积分   | 会员中心 | 客服热线:400-021-2765

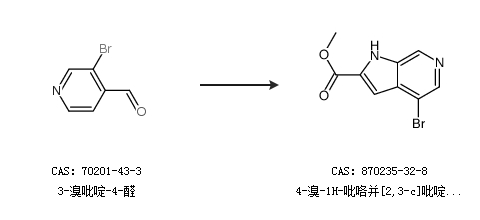
4-溴-1H-吡咯并[2,3-c]吡啶-2-羧酸甲酯的合成路线有哪些?

提问时间:2021/4/21 17:43:35
4-溴-1H-吡咯并[2,3-c]吡啶-2-羧酸甲酯有什么方法可以合成?

1条回复:

匿名
2021/4/21 17:43:35
基本信息:
中文名称 4-溴-1H-吡咯并[2,3-c]吡啶-2-羧酸甲酯
英文名称 Methyl 4-bromo-1H-pyrrolo[2,3-c]pyridine-2-carboxylate
英文别名 Methyl 4-bromo-6-azaindole-2-carboxylate;
CAS号 870235-32-8

合成路线:
1.通过3-溴吡啶-4-醛合成4-溴-1H-吡咯并[2,3-c]吡啶-2-羧酸甲酯


合成路线仅供参考
回复