基本信息:
中文名称 4-氯-2-甲基嘧啶-5-甲酸乙酯
中文别名 4-氯-2-甲基嘧啶-5-羧酸乙酯(2-甲基-4-氯嘧啶-5-羧酸乙酯);4-氯-2-甲基嘧啶-5-羧酸乙酯(2-甲基-4-氯嘧;4-氯-2-甲基嘧啶-5-羧酸乙酯;
英文名称 ETHYL 4-CHLORO-2-METHYLPYRIMIDINE-5-CARBOXYLATE
英文别名 QC-5711;ethyl 4-chloro-2-methyl-5-pyrimidinecarboxylate;ethyl 2-methyl-4-chloropyrimidine-5-carboxylate;4-Chlor-5-ethoxycarbonyl-2-methyl-benzthiazol;CTK4E6542;4-Chlor-2-methyl-pyrimidin-5-carbonsaeure-aethylester;4-chloro-2-methyl-pyrimidine-5-carboxylic acid ethyl ester;
CAS号 2134-36-3
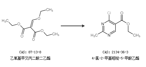
合成路线:
1.通过2-甲基-4-羟基嘧啶-5-羧酸乙酯合成4-氯-2-甲基嘧啶-5-甲酸乙酯,收率约56%;

2.通过乙氧基甲叉丙二酸二乙酯合成4-氯-2-甲基嘧啶-5-甲酸乙酯

合成路线仅供参考