你好,欢迎来到中华试剂网 购试剂 买耗材! [请登录][注册有惊喜]

货号快速下单 | 签到送积分   | 会员中心 | 客服热线:400-021-2765

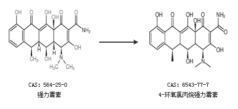
4-环氧氯丙烷强力霉素的合成路线有哪些?

提问时间:2021/4/21 17:43:35
4-环氧氯丙烷强力霉素有什么方法可以合成?

1条回复:

匿名
2021/4/21 17:43:35
基本信息:
中文名称 4-环氧氯丙烷强力霉素
英文名称 doxycyline
英文别名 4-Epi Doxycycline;5-Hydroxy-α-6-desoxy-tetracyclin;doxocycline;doxycycline;
CAS号 6543-77-7

合成路线:
1.通过强力霉素合成4-环氧氯丙烷强力霉素


合成路线仅供参考
回复