基本信息:
中文名称 4-(3,3-二甲基脲)苯硼酸频哪酯
中文别名 4-(3-二甲基脲)苯基硼酸频哪醇酯;
英文名称 1,1-Dimethyl-3-(4-(4,4,5,5-tetramethyl-1,3,2-dioxaborolan-2-yl)phenyl)urea
英文别名 1,1-dimethyl-3-[4-(4,4,5,5-tetramethyl-1,3,2-dioxaborolan-2-yl)phenyl]urea;
CAS号 874290-93-4
合成路线:
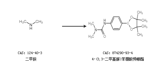
1.通过二甲胺合成4-(3,3-二甲基脲)苯硼酸频哪酯

合成路线仅供参考