你好,欢迎来到中华试剂网 购试剂 买耗材! [请登录][注册有惊喜]

货号快速下单 | 签到送积分   | 会员中心 | 客服热线:400-021-2765

4-(2,4-二氟苯基)苯酚的合成路线有哪些?

提问时间:2021/4/21 17:43:34
4-(2,4-二氟苯基)苯酚有什么方法可以合成?

1条回复:

匿名
2021/4/21 17:43:34
基本信息:
中文名称 4-(2,4-二氟苯基)苯酚
英文名称 2'',4''-Difluoro-[1,1''-biphenyl]-4-ol
英文别名 4-(2,4-difluorophenyl)phenol;
CAS号 59089-68-8

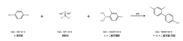
合成路线:
1.通过4-溴苯酚、碳酸钠和2,4-二氟苯硼酸合成4-(2,4-二氟苯基)苯酚,收率约90%;


2.通过4-碘苯酚和2,4-二氟苯硼酸合成4-(2,4-二氟苯基)苯酚,收率约99%;


合成路线仅供参考
回复