你好,欢迎来到中华试剂网 购试剂 买耗材! [请登录][注册有惊喜]

货号快速下单 | 签到送积分   | 会员中心 | 客服热线:400-021-2765

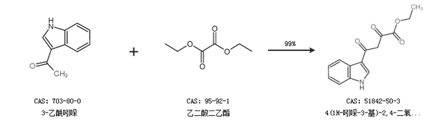
4(1H-吲哚-3-基)-2,4-二氧代丁酸乙酯的合成路线有哪些?

提问时间:2021/4/21 17:43:34
4(1H-吲哚-3-基)-2,4-二氧代丁酸乙酯有什么方法可以合成?

1条回复:

匿名
2021/4/21 17:43:34
基本信息:
中文名称 4(1H-吲哚-3-基)-2,4-二氧代丁酸乙酯
英文名称 Ethyl 4-(1H-indol-3-yl)-2,4-dioxobutanoate
CAS号 51842-50-3

合成路线:
1.通过3-乙酰吲哚和乙二酸二乙酯合成4(1H-吲哚-3-基)-2,4-二氧代丁酸乙酯,收率约99%;


合成路线仅供参考
回复