基本信息:
中文名称 3-氨基-4,4,5,5,5-五氟-2-戊酸乙酯
英文名称 ethyl 3-amino-4,4,5,5,5-pentafluoropent-2-enoate
英文别名 2-Pentenoic acid,3-amino-4,4,5,5,5-pentafluoro-,ethyl ester;ethyl 3-amino-4,4,5,5,5-pentafluoro-2-pentenoate;Ethyl-3-amino-4,4,5,5,5-pentafluor-2-pentenoat;
CAS号 72850-56-7
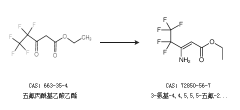
合成路线:
1.通过五氟丙酰基乙酸乙酯合成3-氨基-4,4,5,5,5-五氟-2-戊酸乙酯

合成路线仅供参考