基本信息:
中文名称 3-BOC-氨基苯基硼酸
中文别名 3-(Boc-氨基)苯硼酸;3-(N-Boc-氨基)苯硼酸;3-(叔丁氧羰基氨基)苯硼酸;
英文名称 (3-BOC-AMINOPHENYL)BORONIC ACID
英文别名 3-T-BUTOXYCARBONYLAMINOPHENYLBORONIC ACID;3-[(tert-Butoxycarbonyl)amino]phenylboronic Acid;3-(BOC-amino)-phenylboronic acid;3-[(tert-Butoxycarbonyl)amino]benzeneboronic Acid;3-(N-BUTOXYCARBONYL)AMINOPHENYL BORONIC ACID;3-(Boc-amino)phenylboronic Acid;3-(N-BOC-AMINO)PHENYLBORONIC ACID;(3-Boc-aminophenyl)bronoic acid;(3-Boc-Aminophenyl)boronic acid;[3-(tert-butoxycarbonylamino)phenyl]boronic acid;3-BUTOXYCARBONYLANINOPHENYLBORONIC ACID;3-(N-(tert-butoxycarbonyl)amino)phenylboronic acid;3-(Boc-amino)benzeneboronic acid;N-BOC-3-AMINO-BENZENEBORONIC ACID;3-(Boc-amino)benzeneboronic Acid;(3-AMINO)BENZENEBORONIC ACID,N-BOC PROTECTED;
CAS号 380430-68-2
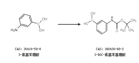
合成路线:
1.通过3-氨基苯硼酸合成3-BOC-氨基苯基硼酸,收率约43%;

2.通过3-氨基苯硼酸合成3-BOC-氨基苯基硼酸

合成路线仅供参考